
See the gallery of stimuli.
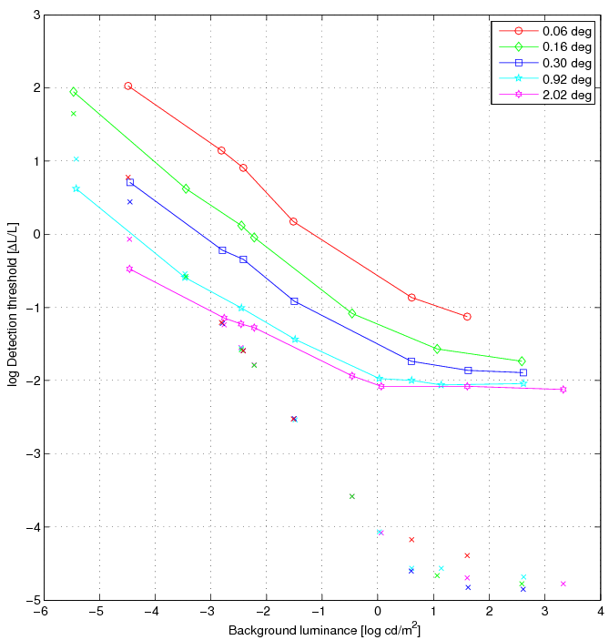
The data set decribes changes in contrast sensitivity with varying background luminance. The data is reproduced from the paper: Blackwell H.R. Contrast thresholds of the human eye. J. Opt. Soc. Am. 1946;36:624-632. The data is for Part I (increments) and Part II (decrements).
In a laboratory built for the purpose of these measurements, over 400,000 observations have been recorded and manually analyzed to determine detection thresholds for circular disks of different sizes (from 0.06 to 2 deg diameter) shown on a uniform adapting field (from 10-5 to 103.5 cd/m2).
This is the Visual Difference Predictor for High Dynamic Range Images, C++ implementation from http://www.mpi-inf.mpg.de/resources/hdr/vdp/index.html, version 1.7
The metric is an extension of the VDP'93 metric that can better handle high dynamic range images. HDR-VDP includes, in addition to the VDP'93 feature set, a model of glare (intra-occular light scatter), photoreceptor response (single luminance channel) and the CSF that adapts locally to the pixel luminance.
The algorithm is described in: R. Mantiuk, S. Daly, K. Myszkowski, and H.P. Seidel. "Predicting visible differences in high dynamic range images: model and its calibration." In Human Vision and Electronic Imaging, 204-214, 2005.